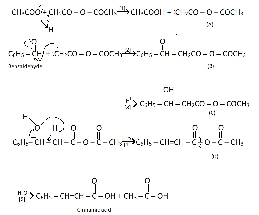
Perkin Reaction
The perkin reaction involves the treatment of an aromatic aldehyde with anhydride of an aliphatic acid and the sodium solution salt of that acid products are Î±,
β  
unsaturated acids.
For example, Benzaldehyde reacts with acetic anhydride in the presence of sodium acetate at 108° C to form Cinnamic acid 
Mechanism :-
1. Formation of the anion of acetic anhydride (A)
2. Addition of (A) to benzaldehyde gives (B) note that the anion adds to the carbonyl carbon of the benzaldehyde.
3. Protonation of (B) gives (C). The proton is supplied by acetic acid from step1 
4. Internal proton transfer in (C) followed by elimination of water molecule gives (D) and hydrolysis of (D) gives cinnamic acid.
 



 
 
 
 
 
 
 
0 Comments
Thanks for your feedback, ll get back to you soon